소개

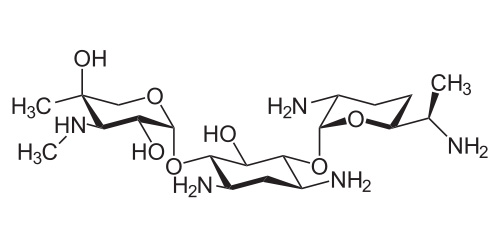
Gentamicin Sulfate는 피부, 눈, 이명 등에서 발생하는 세균 감염을 치료하는 강력한 항생제로, 본 블로그 글에서는 이 약물의 효능, 생리학적 작용 메커니즘, 권장 사용법, 그리고 필수 주의사항에 대한 포괄적인 정보를 제공합니다.
본문
1. 효능
- Gentamicin Sulfate는 세균 감염의 치료에 높은 효과를 나타냅니다. 피부, 눈, 귀 등에서 사용되며 다양한 세균에 대응하여 빠르고 효과적으로 다양한 세균에 의한 질환을 해결합니다.
2. 생리학적 작용 메커니즘
- Gentamicin Sulfate의 생리학적 작용 메커니즘은 주로 세균의 단백질 합성에 대한 간섭에 중점을 둡니다. 세균 리보솜에 결합하여 세균의 단백질 생성을 방해함으로써 세균의 성장과 증식을 막습니다. Gentamicin Sulfate은 특히 그람 음성 세균에 효과적이며 다양한 세균 병원체에 대한 효과적인 치료에 기여합니다.
3. 사용법과 용량
- Gentamicin Sulfate은 피부 감염의 경우 피부에 바르거나, 눈 및 귀 감염의 경우 안과 의사의 처방에 따라 점안제 또는 귀에 점이하는 형태로 투여됩니다. 처방된 용량과 적용 방법은 감염의 종류와 심각성에 따라 다르며, 환자는 항생제 내성의 위험을 최소화하면서 의료 전문가가 제공한 지침을 엄격히 따라야 합니다.
4. 주의사항
- Gentamicin Sulfate 사용 시 특별한 주의가 필요합니다. 환자는 알레르기 반응이나 부작용의 증상이 나타날 경우 즉시 의사에게 알려야 하며, 특히 장기간 사용이나 피부 손상이 심한 경우 체내 흡수의 위험이 있으므로 철저한 감시가 필요합니다. 또한, Gentamicin Sulfate은 신장 기능에 영향을 줄 수 있으므로 의료 전문가는 신장 기능을 평가해야 합니다.
결론
요약하면, Gentamicin Sulfate은 다양한 세균 감염에 효과적으로 대응하는 강력한 항생제입니다. 권장 사용법과 주의사항을 엄수하며, 의료 전문가와의 정기적인 상담을 통해 Gentamicin Sulfate을 안전하고 효과적으로 사용하여 최적의 환자 결과를 보장합니다.
'성분별 소개' 카테고리의 다른 글
| 클로트리마졸(Clotrimazole) : 효능, 생리학적 작용 메커니즘, 사용법, 그리고 주의사항 (0) | 2023.11.19 |
|---|---|
| 베타메타손 디프로피오네이트(Betamethasone Dipropionate): 효능, 생리학적 작용 메커니즘, 사용법, 그리고 주의사항 (0) | 2023.11.19 |
| 코르티코스테로이드 (Corticosteroids): 용도, 용량, 작용 메커니즘, 부작용 및 안전 지침 (0) | 2023.11.07 |
| 항히스타민제 (Antihistamines): 용도, 용량, 작용 메커니즘, 부작용 및 안전 지침 (0) | 2023.11.06 |
| 퍼메트린 (Permethrin): 용도, 용량, 작용 메커니즘, 부작용 및 안전 지침 (0) | 2023.11.06 |